Skip to main content

Translate

Quadratic Equation Exercise 4.2

Hi Friends and Champs!

Before to begin next exercise, we need to understand some basic points, for solving the problems easily.

As you know the general equation for quadratic equation is:

ax2+bx+c=0, a ≠ 0

To factorize 

Step -1: Multiply coefficient of  x with constant term i.e. multiply "a" and "c".

Step-2: Factorize middle term or coefficient of x, such that the multiplication should be equal to the result obtained from multiplication of "a" and "c" and addition or subtraction should be equal to the middle term coefficient "b". 

Ex:    x2+5x+6=0 

Step -1: Multiply coefficient of x with constant term i.e. multiply "a" and "c",

                i.e. 1 x 6 =6

Step -2: 3 + 2 =5 (middle term coefficient)

              3 x 2 = 6 (multiplication of "a" and "c")

            now factor given equation like:

            x2+5x+6=0  

            x2+3x+2x+6=0

            x(x+3)+2(x+3)=0

            (x+2)(x+3)=0   (Hope you understand the method)

 

Middle term decision based on sign:

In ax2 + bx + c=0 , a ≠ 0  first sign "+" will break in ( + + ) i.e. +  in ++

In ax2 + bx - c=0 , a ≠ 0  first sign "+"will break in ( + - ) i.e. + in + -

In ax2 -  bx + c=0 , a ≠ 0  first sign "-" will break in ( - - ) i.e.  -  in - -

In ax2 - bx - c=0 , a ≠ 0  first sign  "-" will break in ( - + ) i. e.  - in - +

                                                            Exercise - 4.2

 1. Find the roots of the following quadratic equations by factorisation: 

(i) x2 – 3x – 10 = 0                         (ii) 2x2 + x – 6 = 0 

(iii) √2x2 +7x +5√2=0                 (iv) 2x2 – x + 1/8 = 0 

(v) 100x2 – 20x + 1 = 0

Solution:


2. Solve the problems given in Example 1. 

Solution: Pls see question 1 solution.

3. Find two numbers whose sum is 27 and product is 182.

Solution:


4. Find two consecutive positive integers, sum of whose squares is 365.

Solution :

5. The altitude of a right triangle is 7 cm less than its base. If the hypotenuse is 13 cm, find the other two sides. 

Solution:


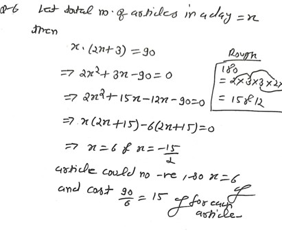
6. A cottage industry produces a certain number of pottery articles in a day. It was observed on a particular day that the cost of production of each article (in rupees) was 3 more than twice the number of articles produced on that day. If the total cost of production on that day was ` 90, find the number of articles produced and the cost of each article.

Solution:





Please share your valuable feedback in comment section.





Comments

Popular posts from this blog

Statistics Exercise -13.1

Hi Friends and Champs! In the next exercise, we will talk about the mean or average for given data. You already learn about the mean for the ungrouped data in the previous class: Example for the data as given below:    Observations           Frequency of occurrence           x 1                                                   f 1           x 2                                                  f 2           x 3                                       ...

Pair of Linear Equation in two variables Exercise - 3.3 Elimination Method

Hi Friends and Champs! In the next exercise, we will solve the questions by the elimination method.                                                                 EXERCISE 3.3.  1. Solve the following pair of linear equations by the elimination method and the substitution method :         (i) x + y = 5 and 2x – 3y = 4                          (iii) 3x – 5y – 4 = 0 and 9x = 2y + 7         (ii) 3x + 4y = 10 and 2x – 2y = 2                  (iv) x/y +  2y/3 = -1 and x - y/3 = 3 Solution:  (i)  x + y = 5 --------------- (1)        2x – 3y = 4  -------------(2) Multiply ...

Introduction to Trigonometry Ex- 8.1

 Hi Friends and Champs Before we proceed to the next exercise let's understand some basic facts about trigonometry.  Trigonometry is the combination of three Greek words " tri", "gon"  and  " metron"  . " tri"  mean three " gon"  means sides and " metron"  mean measure. So, trigonometry means to study the relationship between sides and angles of a triangle.    Trigonometry Ratios:   Let  Δ ABC is a right angle triangle , right angle at B, then: Sin A = BC / CA           i.e. Side opposite to angle A / Hypotenuse Cos A = AB / CA             i.e. Side adjacent to angle A / Hypotenuse Tan A = BC / AB             i.e. Side opposite to angle A / Side adjacent to angle A  Cosec A = CA / BC      i.e Hypotenuse /. Side opposite to angle A Sec A = CA / AB          i.e. Hypotenuse / ...

Arithmetic Progressions Exercise 5.3

 Hi Friends and Champs! Before proceeding to the next exercise, we need to understand the following: The general form of an AP is : a, a+d, a+2d, a+3d, ..................................,a+(n-1)d Let S is the sum of first n term of the above given AP then, S n  = a + (a+d) + [ a + 2d ] + [ a+ 3d ] + ---------------------+ [ a+(n-2)d]+ [ a+ (n-1)d] ----------(1) let reverse the order of eq(1), we have, S n = [ a+(n-1)d ] + [ a + (n-2)d ] + -----------------------------+ (a+2d) + (a+d) + a -----------------(2) Adding eq (1) and (2), we have 2 S n  = [ 2a+(n-1)d ] + [ 2a+(n-1)d ]+ [ 2a+(n-1)d ]+ [ 2a+(n-1)d ]+ [ 2a+(n-1)d ]+++++  n times => 2 S n  = n[ 2a+(n-1)d ] =>  S n  = n/2[ 2a+(n-1)d ] the sum of first n terms of an AP As we already know , that if " l " is the last term of an AP of n terms then l = a + (n-1)d So  S n  = n/2[2a + (n-1)d] =>  S n  = n/2[ a+ {a +(n-1)d}] =>   S n  = n/2[a + l ]     ...

NCERT Class 10 Math Quadratic Equation Exercise 4.3

 Hi Friends and Champs! Before We start next exercise, need to give some attention on below considerations: As you know the general equation of a quadratic equation is:             ax 2  + bx + c = 0 , a ≠ 0 solve this equation to find the roots or Zeroes for "x" . In above result roots or ZEROES of the general equation ax 2  + bx + c = 0 , a ≠ 0 depend on the value of  (b 2 - 4ac) called  Discriminant  . Now we have 3 cases in this scenario. Ist Case :      When discriminant ( b 2 - 4ac ) > 0 , Roots will be real and distinct. 2nd Case :    When discriminant ( b 2 - 4ac ) = 0, Roots will be identical and real. 3rd Case :     When discriminant ( b 2 - 4ac ) < 0 , Roots will be imaginary and distinct. Exercise: 4.3 1. Find the nature of the roots of the following quadratic equations....

Surface Areas and Volumes Exercise - 12.2

Hi Friends and Champs!  In this chapter, we will learn to find the resulting volumes by joining or scooping of different shape bodies in the same way as in previous exercise. Let's start.  Exercise 12.2 1.A solid is in the shape of a cone standing on a hemisphere with both their radii being equal to 1 cm and the height of the cone is equal to its radius. Find the volume of the solid in terms of π.  Solution: radius of both cone and hemisphere r = 1 cm height of the cone h = r = 1 cm Volume "v" of the solid = volume of the hemisphere + volume of the cone v = 2/3  πr ³ + 1/3  πr ² h =2/3  π1 ³ +   1/3  π1 ² ×1 = 2/3  π +  1/3  π = π cm ³ Ans. 2. Rachel, an engineering student, was asked to make a model shaped like a cylinder with two cones attached at its two ends by using a thin aluminium sheet. The diameter of the model is 3 cm and its length is 12 cm. If each cone has a height of 2 cm, find the volume of air contai...

Statistics Exercise -13.2

Hi Friends and Champs! We will talk about the mode of some supplied grouped data today. Remember that you have already learnt the mode for ungrouped data from the last class. As you are previously aware, the mode for ungrouped data is the frequency that is repeated more frequently. As an illustration: Example - Run score by a batsman in 8 matches are 50,98,99,98,76,75,99,98.Find the mode ? Solution : 98 runs repeated 3 times , Hence mode is 98. It is evident from the example above that figure 98 is the mode because it is repeated three times.Thus, it is easy to find the mode for ungrouped data. However, it is a little more complicated with aggregated data. For ungrouped data, we select the class with the highest frequency and use the formula below to determine the mode. \[Mode=l + \frac{f1-f0} {2f1-f0-f2}×h \] where l = lower limit of the modal class, h = size of the class interval (assuming all class sizes to be equal), f1 = frequency of the modal class, f0 = frequency of t...

Learn Excel V-Lookup in Easy Way

Let We have three tables  names:  Table - 1 ( our Main Database Table ) and  Table - 2 Where we have only Name of customer and require Mob No  Table -3 Where we have customer name and require customer City.  VlookUP Function is: VLOOKUP(lookup_value , table_array, col_index_num ,[range_lookup])  lookup_value Attribute : what you want to search.   table_array attribute       : where vlookup funtion will search , Fix data range from database   col_index_num attribute : which column data result you require from selected data range .   range_lookup   attribute    : Either you require exact match for your lookup_value or partial match.                                                                     ...

Real Numbers Exercise 1.1

 Hi Friends and Champs, Before coming to the exercise 1.1, we need to understand some points, which you have already read in class IX. Prime Number: Those numbers which could be divide by "1" and itself. i.e. there are only two multiple of the number, example 2,3,5,7...... etc. 2 is the smallest prime number we have. "1" is not a prime number, because for a prime number there should be exactly two multiples of the number, but "1" have only one multiple which is itself. Prime factors: Prime factors are the product of prime numbers for a given number. ex 2x2x3x5 are the prime factors for the number 60.   Exercise 1.1 Q-1 Express each number as a product of its prime factors: (i) 140        (ii) 156    (ii) 3825    (iv)  5005     (v) 7429 Note: Prime numbers are those numbers, which could be divide by 1 and by itself. Note: Do not try to skip the steps in prime factorization, start from the lowest prime number. Solution:...