Skip to main content

Translate

Arithmetic Progressions Exercise 5.3

 Hi Friends and Champs!

Before proceeding to the next exercise, we need to understand the following:

The general form of an AP is :

a, a+d, a+2d, a+3d, ..................................,a+(n-1)d

Let S is the sum of first n term of the above given AP

then,

Sn = a + (a+d) + [ a + 2d ] + [ a+ 3d ] + ---------------------+ [ a+(n-2)d]+ [ a+ (n-1)d] ----------(1)

let reverse the order of eq(1), we have,

Sn= [ a+(n-1)d ] + [ a + (n-2)d ] + -----------------------------+ (a+2d) + (a+d) + a -----------------(2)

Adding eq (1) and (2), we have

2Sn = [ 2a+(n-1)d ] + [ 2a+(n-1)d ]+ [ 2a+(n-1)d ]+ [ 2a+(n-1)d ]+ [ 2a+(n-1)d ]+++++  n times

=> 2Sn = n[ 2a+(n-1)d ]

=> Sn = n/2[ 2a+(n-1)d ] the sum of first n terms of an AP

As we already know , that if " l " is the last term of an AP of n terms

then l = a + (n-1)d

So Sn = n/2[2a + (n-1)d]

=> Sn = n/2[ a+ {a +(n-1)d}]

=> Sn = n/2[a + l ]

                                                                       Exercise 5.3

 1. Find the sum of the following APs: 

 (i) 2, 7, 12, . . ., to 10 terms            (ii)–37, –33, –29, . . ., to 12 terms.

(iii) 0.6, 1.7, 2.8, . . ., to 100 terms    (iv) 1/15, 1/12, 1/10 ---------, to 11 terms.

Solution:








 2. Find the sums given below

  (i) 7 +101/2  + 14 + . . . + 84                    (ii) 34 + 32 + 30 + . . . + 10 

 (iii)–5 + (–8) + (–11) + . . . + (–230)

Solution:


3. In an AP: 

 (i) given a = 5, d = 3, an = 50, find n and Sn . 

 (ii) given a = 7, a13 = 35, find d and s13 . 

 (iii) given a12 = 37, d = 3, find a and s12 . 

 (iv) given a3 = 15, s10 = 125, find d and a10 . 

 (v) given d = 5, s9 = 75, find a and a9 . 

 (vi) given a = 2, d = 8, Sn = 90, find n and an . 

 (vii) given a = 8, an = 62, Sn = 210, find n and d. 

 (viii) given an = 4, d = 2, Sn = –14, find n and a. 

 (ix) given a = 3, n = 8, S = 192, find d. 

 (x) given l = 28, S = 144, and there is total 9 terms. Find a.

Solution:







4. How many terms of the AP : 9, 17, 25, . . . must be taken to give a sum of 636? 

Solution:

                     => 4n2+ 5n - 636 =0

                     =>4n2+ 53n - 48n - 636 =0

                     =>n(4n + 53 ) - 12(4n + 53) = 0

                     =>(n - 12)(4n + 53) =0

                     => n = 12 and n = -53/12 

                     Hence n= 12 is a valid result, because "n" could not be negative.

5. The first term of an AP is 5, the last term is 45 and the sum is 400. Find the number of terms and the common difference. 

Solution:

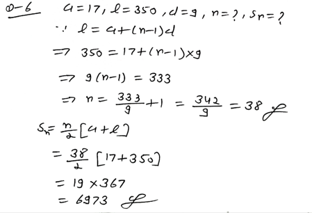
6. The first and the last terms of an AP are 17 and 350 respectively. If the common difference is 9, how many terms are there and what is their sum? 

Solution:

 7. Find the sum of first 22 terms of an AP in which d = 7 and 22nd term is 149. 

Solution:

 8. Find the sum of first 51 terms of an AP whose second and third terms are 14 and 18 respectively. 

Solution:


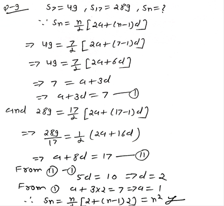
 9. If the sum of first 7 terms of an AP is 49 and that of 17 terms is 289, find the sum of first n terms.

Solution:



 10. Show that a1 , a2 , . . ., an , . . . form an AP where an is defined as below : 

 (i) an = 3 + 4n                  (ii) an = 9 – 5n 

 Also find the sum of the first 15 terms in each case. 

Solution:



11. If the sum of the first n terms of an AP is 4n – n2, what is the first term (that is S1 )? What is the sum of first two terms? What is the second term? Similarly, find the 3rd, the 10th and the nth terms.

Solution:

 12. Find the sum of the first 40 positive integers divisible by 6.


13. Find the sum of the first 15 multiples of 8. 

Solution:

14. Find the sum of the odd numbers between 0 and 50. 

Solution:

 15. A contract on construction job specifies a penalty for delay of completion beyond a certain date as follows: ` 200 for the first day, ` 250 for the second day, ` 300 for the third day, etc., the penalty for each succeeding day being ` 50 more than for the preceding day. How much money the contractor has to pay as penalty, if he has delayed the work by 30 days? 

Solution:

 16. A sum of ` 700 is to be used to give seven cash prizes to students of a school for their overall academic performance. If each prize is ` 20 less than its preceding prize, find the value of each of the prizes. 

Solution:

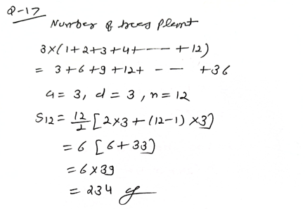
 17. In a school, students thought of planting trees in and around the school to reduce air pollution. It was decided that the number of trees, that each section of each class will plant, will be the same as the class, in which they are studying, e.g., a section of Class I will plant 1 tree, a section of Class II will plant 2 trees and so on till Class XII. There are three sections of each class. How many trees will be planted by the students?

Solution:


 18. A spiral is made up of successive semicircles, with centres alternately at A and B, starting with centre at A, of radii 0.5 cm, 1.0 cm, 1.5 cm, 2.0 cm, . . . as shown in Fig. 5.4. What is the total length of such a spiral made up of thirteen consecutive semicircles? (Take π  = 22/7)



[Hint : Length of successive semicircles is l1 , l2 , l3 , l4 , . . . with centers at A, B, A, B, . . ., respectively.] 

Solution:




 19. 200 logs are stacked in the following manner: 20 logs in the bottom row, 19 in the next row, 18 in the row next to it and so on (see Fig. 5.5). In how many rows are the 200 logs placed and how many logs are in the top row?



Solution:


20. In a potato race, a bucket is placed at the starting point, which is 5 m from the first potato, and the other potatoes are placed 3 m apart in a straight line. There are ten potatoes in the line (see Fig. 5.6). A competitor starts from the bucket, picks up the nearest potato, runs back with it, drops it in the bucket, runs back to pick up the next potato, runs to the bucket to drop it in, and she continues in the same way until all the potatoes are in the bucket. What is the total distance the competitor has to run? 

 [Hint : To pick up the first potato and the second potato, the total distance (in metres) run by a competitor is 2 × 5 + 2 × (5 + 3)

Solution:



Please share your valuable feedback in comment section.

Comments

Popular posts from this blog

Statistics Exercise -13.1

Hi Friends and Champs! In the next exercise, we will talk about the mean or average for given data. You already learn about the mean for the ungrouped data in the previous class: Example for the data as given below:    Observations           Frequency of occurrence           x 1                                                   f 1           x 2                                                  f 2           x 3                                       ...

Pair of Linear Equation in two variables Exercise - 3.3 Elimination Method

Hi Friends and Champs! In the next exercise, we will solve the questions by the elimination method.                                                                 EXERCISE 3.3.  1. Solve the following pair of linear equations by the elimination method and the substitution method :         (i) x + y = 5 and 2x – 3y = 4                          (iii) 3x – 5y – 4 = 0 and 9x = 2y + 7         (ii) 3x + 4y = 10 and 2x – 2y = 2                  (iv) x/y +  2y/3 = -1 and x - y/3 = 3 Solution:  (i)  x + y = 5 --------------- (1)        2x – 3y = 4  -------------(2) Multiply ...

Quadratic Equation Exercise 4.2

Hi Friends and Champs! Before to begin next exercise, we need to understand some basic points, for solving the problems easily. As you know the general equation for quadratic equation is: ax 2 +bx+c=0, a ≠ 0 To factorize  Step -1:  Multiply coefficient of  x 2   with constant term i.e. multiply "a" and "c". Step-2:  Factorize middle term or coefficient of x, such that the multiplication should be equal to the result obtained from multiplication of "a" and "c" and addition or subtraction should be equal to the middle term coefficient "b".  Ex:    x 2 +5x+6=0  Step -1:  Multiply coefficient of x 2   with constant term i.e. multiply "a" and "c",                 i.e. 1 x 6 =6 Step -2:  3 + 2 =5 (middle term coefficient)               3 x 2 = 6 (multiplication of "a" and "c")          ...

NCERT Class 10 Math Quadratic Equation Exercise 4.3

 Hi Friends and Champs! Before We start next exercise, need to give some attention on below considerations: As you know the general equation of a quadratic equation is:             ax 2  + bx + c = 0 , a ≠ 0 solve this equation to find the roots or Zeroes for "x" . In above result roots or ZEROES of the general equation ax 2  + bx + c = 0 , a ≠ 0 depend on the value of  (b 2 - 4ac) called  Discriminant  . Now we have 3 cases in this scenario. Ist Case :      When discriminant ( b 2 - 4ac ) > 0 , Roots will be real and distinct. 2nd Case :    When discriminant ( b 2 - 4ac ) = 0, Roots will be identical and real. 3rd Case :     When discriminant ( b 2 - 4ac ) < 0 , Roots will be imaginary and distinct. Exercise: 4.3 1. Find the nature of the roots of the following quadratic equations....

Introduction to Trigonometry Ex- 8.1

 Hi Friends and Champs Before we proceed to the next exercise let's understand some basic facts about trigonometry.  Trigonometry is the combination of three Greek words " tri", "gon"  and  " metron"  . " tri"  mean three " gon"  means sides and " metron"  mean measure. So, trigonometry means to study the relationship between sides and angles of a triangle.    Trigonometry Ratios:   Let  Δ ABC is a right angle triangle , right angle at B, then: Sin A = BC / CA           i.e. Side opposite to angle A / Hypotenuse Cos A = AB / CA             i.e. Side adjacent to angle A / Hypotenuse Tan A = BC / AB             i.e. Side opposite to angle A / Side adjacent to angle A  Cosec A = CA / BC      i.e Hypotenuse /. Side opposite to angle A Sec A = CA / AB          i.e. Hypotenuse / ...

Real Numbers Exercise 1.1

 Hi Friends and Champs, Before coming to the exercise 1.1, we need to understand some points, which you have already read in class IX. Prime Number: Those numbers which could be divide by "1" and itself. i.e. there are only two multiple of the number, example 2,3,5,7...... etc. 2 is the smallest prime number we have. "1" is not a prime number, because for a prime number there should be exactly two multiples of the number, but "1" have only one multiple which is itself. Prime factors: Prime factors are the product of prime numbers for a given number. ex 2x2x3x5 are the prime factors for the number 60.   Exercise 1.1 Q-1 Express each number as a product of its prime factors: (i) 140        (ii) 156    (ii) 3825    (iv)  5005     (v) 7429 Note: Prime numbers are those numbers, which could be divide by 1 and by itself. Note: Do not try to skip the steps in prime factorization, start from the lowest prime number. Solution:...

Learn Excel V-Lookup in Easy Way

Let We have three tables  names:  Table - 1 ( our Main Database Table ) and  Table - 2 Where we have only Name of customer and require Mob No  Table -3 Where we have customer name and require customer City.  VlookUP Function is: VLOOKUP(lookup_value , table_array, col_index_num ,[range_lookup])  lookup_value Attribute : what you want to search.   table_array attribute       : where vlookup funtion will search , Fix data range from database   col_index_num attribute : which column data result you require from selected data range .   range_lookup   attribute    : Either you require exact match for your lookup_value or partial match.                                                                     ...

Surface Areas and Volumes Exercise - 12.2

Hi Friends and Champs!  In this chapter, we will learn to find the resulting volumes by joining or scooping of different shape bodies in the same way as in previous exercise. Let's start.  Exercise 12.2 1.A solid is in the shape of a cone standing on a hemisphere with both their radii being equal to 1 cm and the height of the cone is equal to its radius. Find the volume of the solid in terms of π.  Solution: radius of both cone and hemisphere r = 1 cm height of the cone h = r = 1 cm Volume "v" of the solid = volume of the hemisphere + volume of the cone v = 2/3  πr ³ + 1/3  πr ² h =2/3  π1 ³ +   1/3  π1 ² ×1 = 2/3  π +  1/3  π = π cm ³ Ans. 2. Rachel, an engineering student, was asked to make a model shaped like a cylinder with two cones attached at its two ends by using a thin aluminium sheet. The diameter of the model is 3 cm and its length is 12 cm. If each cone has a height of 2 cm, find the volume of air contai...

Statistics Exercise -13.2

Hi Friends and Champs! We will talk about the mode of some supplied grouped data today. Remember that you have already learnt the mode for ungrouped data from the last class. As you are previously aware, the mode for ungrouped data is the frequency that is repeated more frequently. As an illustration: Example - Run score by a batsman in 8 matches are 50,98,99,98,76,75,99,98.Find the mode ? Solution : 98 runs repeated 3 times , Hence mode is 98. It is evident from the example above that figure 98 is the mode because it is repeated three times.Thus, it is easy to find the mode for ungrouped data. However, it is a little more complicated with aggregated data. For ungrouped data, we select the class with the highest frequency and use the formula below to determine the mode. \[Mode=l + \frac{f1-f0} {2f1-f0-f2}×h \] where l = lower limit of the modal class, h = size of the class interval (assuming all class sizes to be equal), f1 = frequency of the modal class, f0 = frequency of t...